
Diese Seminarreihe bietet über eine Serie von Abendveranstaltungen tieferes Verständnis in vielen Bereichen unseres Hobbys. Der Seminarleiter Roland OE1RSA ist ein erfahrener und geachteter Sprecher rund um viele Bereiche der Funktechnik. Der Vorstand des LV1 freut sich auf Vorschlag von Roland diese Seminarreihe ankündigen zu dürfen. Das Thema füllt mehrere Abende, damit für alle genügend Zeit zur Verfügung steht.

Mit dem Löten ist es so: Wenn man's noch nicht probiert hat klingt es schwierig. Außerdem ist es nicht so wahnsinnig spannend was man am Anfang macht: Ein paar Drähte zusammenpicken. Interessanter ist da schon so ein kleiner Weihnachtsbaum oder ein QRP Receiver.
Mit GNURadio ist es so ähnlich, aber natürlich ganz anders. GNURadio ist der Lötkolben des computer-affinen HAMs pflege ich gerne zu sagen. Hat man die Installation erst mal hingekriegt so gibts mehrere Routen die man einschlagen kann: Zuerst natürlich die der C++ Programmierer. GNURadio ist dabei eine mächtige Signalverarbeitungs Bibliothek. Programme wie gqrx-sdr oder gr-sattelites sind prominente Beispiele. Dann, als Python Programmierer kann man sich die komfortable Scriptsprache Python zu Nutze machen, um die Benutzer Schnittstelle in einer höheren Programmiersprache zu realiseren und die schnellen Signalverarbeitungsalgorithmen C++ zu überlassen.
Als Nicht Programmierer kann man also nur fertige Apps verwenden? Nein. Stimmt nicht! GNURadio bietet eine graphische Schnittstelle an mit der man Signalflussblöcke manipulieren kann. Klingt doch gut. Oder?
Na ja, nicht ganz. Verglichen mit dem Lötkolben können wir nun Drähte aneinanderkleben, oder ein wenig anspruchsvoller: Wir können halbfertige
Baugruppen zusammenschalten. Das kann durchaus Spaß machen und an die Stelle des Gehäusebaus tritt bei GNURadio die Ausgestaltung einer ansprechenden Benutzerschnittstelle.
In meiner kleinen Vortragsreihe habe ich aber anderes vor. Ich möchte mit euch versuchen einen Blick in die Baugruppen zu machen. Was wir dabei lernen wollen wird nicht das Programmieren sein, sondern ein Verständniss für Signalverarbeitung und wie man seine Ideen mit GNURadio austesten kann.
Folgende Themen sind geplant, siehe dazu auch dei jeweils spezifischen Kalender Einträge:
Obwohl diese Reihe eine Veranstaltung der Icebird-Talks ist, soll es nicht frontal zugehen. Der erste Abend startet mit einer "Installationsparty". Die
Abende bauen zwar lose aufeinander auf, aber es ist nicht unbedingt nötig bei allen dabei zu sein. Wir haben in beschränktem Rahmen durchaus Zeit für Wiederholungen und Diskussionen.
Die Signalflussdiagramme sind durchwegs so einfach gehalten, dass sie gemeinsam mit den Teilnehmerinnen und Teilnehmern Schritt für Schritt entwickelt werden.
Roland,
oe1rsa@oevsv.at
Der erste Abend war der Inbetriebnahme der mitgebrachten PCs gewidmet. Roland präsentierte die GNURadio WEB Seite die die verschiedenen Quellen für das Herunterladen auf den passenden Plattformen präsentiert. Man muß mit etwa 600-700MB, also etwa der Datenumfang einer CD, rechnen. Die Installation erfolgte auf den PCs. Für Windows, insbesondere unter Windows 11, ist der Aufruf des Installationsprogramms als Administrator angeraten.
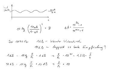
Nachdem alle Anwesende die GNURadio grafische Oberfläche starten konnten, begann Roland die ersten Funktionen vorzustellen. Es wurden Signalquellen und ein Skope präsentiert. Dabei stellte er alle Module auf floting Point Integer um um bei der Erklärung vorerst noch komplexen Zahlen auszuweichen.
Die Präsentation erfolgte über ein Schreibtablet das seine handschriftlichen Aufzeichnungen auf den Beamer im Lehrsaal übertrug.